? ? 根据《甘肃省县级审计机关“三农”资金审计中心公开招聘工作人员公告》要求,经组织报名、笔试、资格复审、面试、体检、考察等环节,现将拟聘用人员(见附件)予以公示,接受社会各界监督。如发现有影响公示对象聘用的问题,可通过电话、来信、面谈等形式向定西市人社局、bet36在线投注网反映,反映问题须用本人真实姓名。如不存在影响聘用的问题,将按有关程序办理聘用手续。
????公示时间:2017年2月22日至2017年2月28日,共7天
????受理时间:工作日上午8:30-12:00,下午2:30-6:00
????受理部门及电话:定西市人社局???? 0932-8235619
?????????????????bet36在线投注网???? 0932-8213795
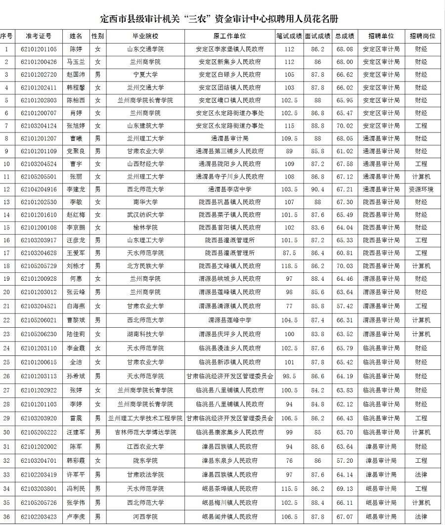
????附件:定西市县级审计机关“三农”资金审计中心拟聘用人员花名册
?
?
定西市人力资源和社会保障局
bet36在线投注网
2017年2月21日
?
附件:

下一篇:关于定西市县级审计机关“三农”资金审计中心公开招聘人员最终成绩公示和进行体检的通知
Copyright ?2016 bet36在线投注网 版权所有
网站主办单位:bet36在线投注网,承办单位:定西市计算机审计中心,地址:定西市安定区安定路1号,电话:0932-8213795(信息采编) 0931-8179239(网络管理)
投稿邮箱:dxssjjtg@163.com 邮编:743000 ICP备案编号: 陇ICP备14000196号 运行维护:中国移动公司定西分公司